
The National Democratic Congress in a letter Signed by Mr. Fiifi Fiavi Kwetey has appointed two active party members from Upper West Region into National Executive Positions in order to augment party’s formidability ahead of the 2024 general elections.
Mr. Kale Caesar, a former Presidential Staffer and a former deputy Upper West Regional Minister appointed by late former President John Atta Mills was appointed as Deputy Director in Charge of Special Duties together with Brogya Genfi from Ashanti Region and Mohammed Atta Natogmah from Bimbilla in the Northern Region.
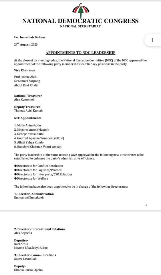
Mr. Emmanuel Zumakpeh was appointed as Director to be in charge of Administration. Mr. Emmanuel Samba Zumakpeh was the member of parliament for Nadowli South constituency in the Upper West Region of Ghana. He was a member of parliament in the 1st, 2nd, and 3rd parliaments of the 4th republic of Ghana.
Full List Below
















Leave a Reply